16. Synthesis, characterization and antibacterial activity of cobalt(III) complexes with pyridine–amide ligands

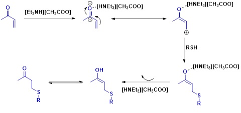
17. Triethylammonium acetate (TEAA): a recyclable inexpensive ionic liquid promotes the chemoselective aza- and thia Michael reactions”

18. Studies on Structural and Functional Aspects of Human Telomeric RNA proteins
